Páginas

18/08/2015

Resistência dos materiais "5-91, 5-92, 5-139"

5-91) O eixo de aço de 300 mm de comprimento é parafusada na parede usando uma chave inglesa. Determinar a maior par forças F que pode ser aplicada ao eixo do aço para se obter. τy = 56 MPa.


















- 181,91 + 0,4 * F = 0
F = 454,77 N










5-92) O eixo de aço de 300 mm de comprimento e é parafusada na parede usando uma chave inglesa. Determine o valor máximo da tensão de corte no eixo e a quantidade de deslocamento de força de cada par para que se submeta a um par forças com uma magnitude de F = 150 N. Gst = 75 GPa.













-T + 150 * 0,4 = 0
T = 60 N.m

Tensão de cisalhamento

τmax = 4,81 T / d3
τmax = (4,81 * 60 N.m ) / 0,0253
τmax = 18,47 MPa

θ = (7,1 * 60 * 0,3 ) / (7,5 X 1010 * 0,0254)
θ = 0,004362 rad

δF = (0,004362 * 400) / 2
δF = 0,8724 mm

5-139) O motor do helicóptero é entregar 660 kW para o eixo do rotor AB quando a lâmina está a rodando a 1500 rev / min. Determinar os múltiplos mais próximos de 5 milímetros ao diâmetro do eixo AB se o allowabl tensão de corte é τadm = 56 MPa e as vibrações limitar o ângulo de torção do eixo de 0,05 rad. o eixo é de 0,6 m de comprimento e feita de aço ferramenta L2.













ω = 157,08 rad/s

T = 660 KW / 157,08 rad/s
T = 4,2 KN.m

Tensão de cilhamento adm


















16/08/2015

VETORES E GEOMETRIA ANALÍTICA

1) Determine o ângulo entre as seguintes retas:







RESOLUÇÃO:
V1= (-2, -1, 2)
V2=(2, -3, 4)

|V1.V2|= -4 + 3 +8= 7
|V1|= 4 + 1 + 4= 9 = 3
|V2|= 4 + 9 + 16= 29







2) Determine uma equação do:

a) Plano π1 que é paralelo a π: 5x + 3y -2z + 4= 0 e que contém o ponto A(-4, 3, 2).







b) Plano π2 que é perpendicular à reta e que contém o ponto A(1, 2, -5)

RESOLUÇÃO:

a) 5x + 3y + 2z + 4=0
5 (-4) + 3(3) + 2(2) +d =0
d= 15 

5x +3y -2z + 15= 0

b)
-3x + 2t - 3z +d = 0
-3(1) + 2(2) - 3(-5) +d = 0
d= -16

3) Determine o ponto de intersecção da reta r com o plano π.

RESOLUÇÃO:
4(-1 +3t) +3 (4) -3(2t +2) -7= 0
-4 +12t +12 -6t -6 -7= 0
6t -5=0
t= 5/6

X= -1+3 (5/6)
X= 3/2

Y= 4

Z= 2+2(5/6)
Z= 11/3

P(3/2 ; 4 ; 11/3)

4) A reta que passa pelos pontos A(-2 , 3 , 1) e B(1, 5 , 2) é paralela a reta determinada por C(3, -1, -2) e D(2, m, n). Determine o ponto D.

RESOLUÇÃO:
AB= B-A=(3, 2 ,1)
CD= D-C=( -1, m+1, n+2)

(AB /CD)= (3/-1 ; 2/m+1 ; 1/n+2)

3/-1 = 2/m+1
3m + 3= -2
m= -5/2

3/-1 = 1/n+2
3n + 6= -1
n= -7/3

5) Dados os pontos A(-1, 2) , B(3, -1) e C(-2, 4), determine o ponto D de modo que CD = 1/2 AB.

RESOLUÇÃO

CD = D-C= (a+2 , b - 4)

AB= B-A=( 4, -3)

a +2 = 2
a= 0

b - 4= -3/2
b = -3/2 + 4
b = 5/2

D= (0 ; 5/2)

6) Seja o triangulo de vértices A(4, -1, -2) B(2, 5, -6) e C(1, -1, -2). Calcular o comprimento da mediana do triangulo relativa ao lado AB.

RESOLUÇÃO

M = (A+B) /2
M = (3, 2 , -4)

CM= M-C
CM = (2, 3 , -2)
|CM| = 17

7) Obter o ponto de abscissa 1 da reta r: (2x + 1) /3 = (3y -2)/ 2 = z + 4 e encontrar um vetor diretor de r que tenha ordenada 2.
-1 + 3t = 2
t= 1

y= 2/3 + 2/3
y= 4/3

z= -3

P= (1, 4/3, -3)

em r o vetor é v=(3/2 , 2/3 , 1)

U= (m, 2 , n)
(m*2) / 3 = (2*3) /2 = n / 1

4m / 3 = 6 /2
m= 18/4
m= 9/2

2= 2n / 3
6= 2n
n= 3

logo:
n= (9/2, 2, 3)

8) Determinar o vetor X na igualdade 3X + 2u = 1/2 V + X, sendo u = (3, -1) e v= (-2, 4).

RESOLUÇÃO

3x + 2u = 1/2 V + x
2x = 1/2 V - 2u

2u= (6, -2)
1/2V = (-1, 2)

(2x ; 2y) = (-1, 2) - (6, -2)
(2x ; 2y) = (-7, 4)

2x = -7
x= -7/2

2y = 4
y = 2

X= (-7/2 , 2)

Resistência dos Materiais "4-48 , 4-63

4-48) Os três A-36 arames de aço, cada um tem um diâmetro de 2 mm e comprimentos descarregadas de LAC = 1,60 m e LAB = LAD = 2,00 m. Determine a força em cada fio após a missa de 150 kg é suspenso a partir do anel em A.























4-63) A barra rígida é suportado pelos dois abeto branco postes de madeira curtas e uma mola. Se cada um dos postos tem um comprimento sem carga de 1 m e uma área da secção transversal de 600 mm2, e a mola tem uma rigidez de k = 2 MN/m e um comprimento de 1,02 m não esticada, determine a força em cada posto depois que a carga é aplicada à barra.












ΔL = L − L0
ΔL = 1,02 m - 1m
ΔL = 0,02 m

 δk = δA + ΔL

ΣΜC = 0
- Fa  . 2 + Fb . 2 = 0
Fb = Fa

ΣFx = 0

Fa + Fb + F - w . 2 = 0
2 . Fa + F - 50 . 2 = 0

















14/08/2015

Resistência dos Materiais "4-4 , 4-5 , 4-6 , 4-7 , 4-10 , 4-14"

4-4) O eixo de cobre é sujeito a cargas axiais mostrados. Determine o deslocamento da extremidade A com relação à extremidade D. Os diâmetros de cada segmento são DAB = 20 mm, DBC = 25 mm, e DCD = 12 mm. Tome Ecu = 126 GPa.







Aab = π . 102
Aab = 314,16 mm2

Abc =  π . 12,252
Abc = 490,87 mm2

Acd = π . 62
Acd = 113,1 mm2






















4- 5) A barra de aço A-36 é submetido à carga imediata. Se a área da secção transversal da haste é de 60 mm2, Determine o deslocamento de B e A. Negligencie o tamanho dos acoplamentos em B, C, e D.

































δB = 1,3 + 1,0072 mm
δB = 2,3072 mm

δA = (0,3333 + 1,3 + 1,0072) mm
δA = 2,6405 mm













4-6) O conjunto é constituído por uma haste de CB A-36 de aço e uma 6061-T6 de alumínio BA haste, tendo um diâmetro de 25 mm. Determine as cargas aplicadas P1 e P2, se A é deslocado de 2 mm a direita e B é deslocada 0,5 milímetros para a esquerda quando as cargas são aplicadas. O comprimento de cada segmento não esticada é mostrado na figura. A negligência do tamanho das ligações em B e C, e assuma que são rígidos.








δA = 2mm
δB = 0.5mm
ECB = 200 GPa
EBA = 68,9 GPa

A= π . 12,52 mm
A= 490,87 mm2
















4-7) O eixo de 15 mm de diâmetro de aço A-36 AC é suportado por um colar rígido, o qual é fixo ao veio em B. Se ele é submetido a uma carga axial de 80 kN, na sua extremidade, determinar a distribuição uniforme da pressão P na gola necessário para o equilíbrio. Qual é o alongamento do do segmento BC e segmento BA?















Acolar = (π .  (2.35)152) ) / 4 mm
A= (π . 702 - 152)  /4 mm
A= 3671,74 mm2

ΣFy = 0

3671,74 . F - 80 = 0
F= 21,79 MPa

Força interna

A= π . 7,52 mm
A= 176,71 mm2
















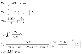
4-10) A barra tem uma área de secção transversal de 1800 mm2, e E = 250 GPa. Determine o deslocamento da sua haste quando ela é submetido à carga distribuída.
























 4-14) Um cabide tubo apoiado por mola é composto por duas molas, que são originalmente não esticada e ter um rigidez de k = 60 kN / m, três hastes de aço inoxidável 304, AB e CD, que têm um diâmetro de 5 mm, e EF, que tem um diâmetro de 12 mm, e um feixe de GH rígida. Se o tubo é deslocado 82 milímetros quando se é enchido com fluido, determinar o peso do fluido.




















ΣΜA=0

- 1 . 0,25 + Fcd . 0,25 + 0,25 = 0
Fcd = 0,25 / 0,5
Fcd = 0,5 KN

ΣFy = 0

Fab + 0,5 - 1 = 0
Fab = 0,5 KN

ΣFy = 0

Fef . - 0,5 + 0,5 = 0
Fef = 1 KN

Aab = π . 2,52 mm
Aab = 19,635 mm2

Acd = π . 2,52 mm
Acd = 19,635 mm2

Aef =  π . 62 mm
Aef = 113,1 mm2

























δt = (8,3677 + 0,09896) mm
δt = 8,4666 mm



















13/08/2015

Resistência dos Materiais "3-26 , 3-31 , 3-32, 3-33 , 3-44 , 4-1 , 4-2"

3-26) A vareta de plástico acrílico é de 200 mm de comprimento e 15 mm de diâmetro. Se uma carga axial de 300 N é aplicado a ele, determinar a mudança no seu comprimento e a sua mudança de diâmetro. Ep = 2,70 GPa, νp = 0,4.







A= π . 7,52 mm 
A = 176,71 mm2

σ = F / A
σ = 300 N / 176,71 mm2
σ = 1,7 MPa




















3-31) O diagrama de tensão-deformação de corte para uma liga de aço é mostrado na figura. Se um parafuso com um diâmetro de 6 mm é feito deste material e utilizados na junta sobreposta, determinar o módulo de elasticidade E e a força P necessária para fazer com que o material a produzir. Tome ν = 0,3.















MÓDULO DE RIGIDEZ








MÓDULO DE ELASTICIDADE











Tensão

A = .π . 32 mm
A = 28,27 mm2

T = F / A
F = T . A
F = 350 N/mm2 . 28,27 mm2
F = 9894,5 N
F = 10 KN //

3-32) As pastilhas de freio para um pneu de bicicleta são feitos de borracha. De uma força de atrito de 50 N é aplicado a cada lateral dos pneus, determinar a tensão de cisalhamento média na borracha. Cada almofada tem transversal dimensões de 20 mm e 50 milímetros. Gr = 0,20 MPa.















A = 20 . 50
A = 1000 mm2
























3-33) A ficha tem um diâmetro de 30 mm e se encaixa dentro de uma manga rígida tendo um diâmetro interno de 32 mm.Tanto a ficha e a manga são 50 mm de comprimento. Determinar a pressão axial P que deve ser aplicada a parte superior do obturador para fazer com que ele entre em contato com os lados da manga. Além disso, até onde deve ser o plugue comprimido para baixo, a fim de fazer isso? O tampão é feito de um material para o qual E = 5 MPa, ν= 0,45.













ε = (32 - 30) mm / 30 mm
ε = 0,0666 mm/mm

v = - ε lat / ε long
- 0,45 = 0,0666 / εlong
εlong = - 0,1481 mm / mm

E= σ / ε
σ = E . ε
σ = 5 N/mm2 . 0,01481
σ = - 0,741 MPa

δL= εlong . L
δL= - 0,1481 . 50 mm
δL= - 7,405 mm

3-44) Uma vara de latão Ebr de 8 mm de diâmetro, tem um módulo de elasticidade de 100 GPa . Se ele é de 3 m de comprimento e submetidos a uma carga axial de 2 kN, determinar o seu alongamento. Qual é o seu alongamento sob a mesma carga se o seu diâmetro é de 6 mm?






A1= π .42 mm
A1 = 50,26 mm2

A2= π .32 mm
A2= 28,27 mm2

σ1 = 2000 N / 50,26 mm2
σ1 = 39,7887 MPa

ε1=  σ1 / E
ε1= 39,7887 MPa / 100000 MPa
ε1= 0,0003979 mm / mm

δ1 = ε1 . L
δ1 = 0,0003979 . 3000 mm
δ1 = 1,1934 mm

σ2 = 2000 N / 28,27 mm2
σ2 = 70,73 MPa

ε2= σ2 / E
ε2= 70,73 MPa / 100000 MPa
ε2= 0,0007073 mm/mm

δ2= 0,0007073 . 3000 mm
δ2 = 2,122 mm


4-1) O navio é empurrado através da água utilizando um A-36 de aço do eixo da hélice, que é de 8 m de comprimento, medido a partir da hélice, para o rolamento de impulso D no motor. Se ele tem um diâmetro exterior de 400 mm e uma espessura de parede de 50 mm, determinar a quantidade de contração axial do eixo quando a hélice exerce uma força sobre o eixo de 5 kN. Os rolamentos do B e C são os rolamentos de jornal.



















A=( π . (4002 - (400 - 2. 50)2 ) / 4mm
A = (π . (4002 - 3002) ) / 4
A = 54977,87 mm2









4-2) A coluna de aço A-36 é usado para suportar as cargas simétricas dos dois pisos de um edifício. Determine as cargas P1 e P2 se A se move para baixo a 3 mm e B se move para baixo 2,25 milímetros quando as cargas são aplicadas. A coluna tem uma área em corte transversal de 14.625 mm2.
























δA = δAB + δBC
δA = -0,4923mm - 1,2553 mm
δA = - 1,7477 mm