Pesquisar neste blog

28/06/2015

Resistência dos Materiais "Exercício 6"

CARGA AXIAL - DEFORMAÇÃO

Determine a deformação total da barra de aço submetida ao carregamento mostrado na figura.
Dados:
Módulo de elasticidade do material (E): 200 GPa
Área da região AB= 200 cm2
Área da região BC= 30 cm2
Área da região CD= 40 cm2

























RESOLUÇÃO:

20 cm2 = 2000 mm2
30 cm2 = 3000 mm2
40 cm2 = 4000 mm2





Resistência dos Materiais "Exercício 5"

LEI DE HOOKE GENERALIZADA

Uma carga periférica uniforme é aplicada a um corpo de prova, conforme a figura. Se forma original do corpo for quadrada, de dimensões "A" e "B" e espessura "t", determine as novas dimensões após a aplicação do carregamento.

Dados:
Módulo de elasticidade do material: 10 GPa
Coeficiente de Poisson (v): 0,23
Dimensão "A" e "B"= 50 mm
Dimensão "t"= 5 mm




















RESOLUÇÃO:
Area= 50 * 50= 2500 mm2

P= F/A
F= P . A
F= 100000 N/m * 0,05 m
Fx= 5000 N
Fx= 5 KN

Fy= 50000 N/m * 0,05 m
Fy= 2,5 KN








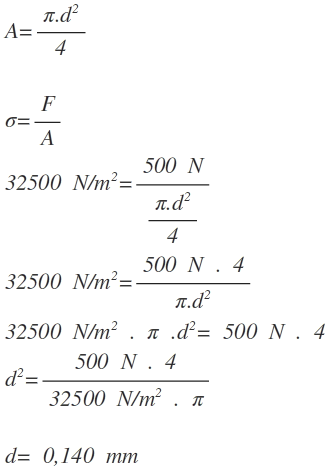
Resistência dos Materiais "Exercício 4"

TENSÃO ADMISSÍVEL

A peça está submetida ao carregamento externo apresentado. Adotando o material com tensão admissível igual a 32,5 KPa. Determine o diâmetro da região do ponto C em mm, de tal forma que a peça resista ao carregamento.

























RESOLUÇÃO:








Resistência dos Materiais "Exercicio 3"

TENSÃO X DEFORMAÇÃO

Uma barra cilíndrica (seção circular) de alumínio de 8 cm de diâmetro, com 80 cm de comprimento, quando tracionada pela força de 125 KN alonga 0,0884194 cm (ΔL) e o seu diâmetro reduziu 0,00353678 cm (Δd).

Calcule:
a) A deformação específica (εx) longitudinal da barra
b) A deformação específica (εy) transversal da barra
c) A tensão atuante na barra em "MPa".
d) O coeficiente de Poisson do material

RESOLUÇÃO:

26/06/2015

Resistência dos Materiais "Exercicio 1"

CARGA AXIAL - ESFORÇOS INTERNOS

Determine a reação nos apoios "A" e "B" em N e os esforços internos nas barras 1 e 2 em N.
Dados:
C= 2,5 m
P= 100 N
Determine a tensão normal atuante nas barras "1" e "2" em MPa, sendo a área da barra 1 e 2 = 5mm2.

RESOLUÇÃO:

-100 *1,5 + Vb .3= 0
Vb= 50 KN

Va= 100 - 50
Va= 50 KN

60°+90°= 150°
180° -60° -60°= 60°

(100 / sen 60°) = (B / sen 150°)
B= 57,73 N

(100/ sen 60°) = (A / sen 150°)
A= 57,73 N

25/06/2015

Resistência dos Materiais (P4)

FLEXÃO COMPOSTA - Tensão Normal

A viga com seção "T" recebe o esforço externo conforme o esquema abaixo:
Determine:

1) O valor do momento fletor máximo (MZ)
2) O momento de inércia na direção Y
3) O momento de inércia na direção Z
4) A Tensão Normal no canto A, e no canto E, em "MPa", informe se é tensão de tração ou compressão.
5) A Tensão Normal no canto G, no canto H, em "MPa", informe se é tensão de tração ou compressão

































RESOLUÇÃO:

Reações de apoio

-120 KN * 0,7 m + Vb.3m=0
Vb= 28 KN

Va= 120 - 28
Va= 92 KN

Fx= 30 KN







DIAGRAMA DE ESFORÇO CORTANTE


AREA= 92 * 0,7= 64,4

Momento máximo= 64,4 KN.m

DIAGRAMA DE MOMENTO FLETOR










































A(-75, 200)
B(75, 200)
C(-75, 150)
D(-25, 150)
E(25, 150)
F(75, 150)
G(-25, 0)
H(25, 0)

AREA 1= 7500 cm3
AREA 2= 7500 cm3
AREA TOTAL= 1500 cm3

CENTROID AREA 1
(A+B)/2 ; (F+B)/2 = (0, 175)

CENTROID AREA 2
(G+H)/2 ; (G+D)/2= (0, 125)

CENTROID PRINCIPAL
7500(0) + 7500(0)= 15000X
X= 0

7500(175) + 7500(75)= 15000Y
Y= 125

K=(0, 125)







































MOMENTO DE INÉRCIA






Iz= (150*503)/12 + 7500(50)2 + (50*1503)/12 + 7500(50)2
Iz= 53125000 cm= 0,53125 m4

Iy= (50*1503)/12 + 7500(0)2 + (150*503)/12 + 7500(0)2
Iy= 15625000 cm= 1,5625 m4










































































24/06/2015

Resistência dos Materiais (P3)

FLEXÃO OBLÍQUA - Tensão Normal


  • A Viga ao lado sofre o esforço interno de flexão oblíque (M) conforme a figura. Sabe -se:
  • M= 100 KN.m
  • Angulo de inclinação do momento em relação ao eixo Z é igual a 40°
  • Centro de gravidade está definido na figura.

Determine
1) A parcela do momento fletor "M" na direção Y e na direção Z
2) O momento de inércia na direção Y
3) O momento de inércia na direção Z
4) O angulo de inclinação da linha neutra (LN)
5) A Tensão Normal no canto A e no canto B, em "MPa", informe se é tensão de compressão ou tração.




















RESOLUÇÃO:



























AREA TOTAL= 1308 cm2

A(-34,64)
B(40,64)
C(-40,0
D(40,0)
E(40,6)
F(-34,6)
G(40,70)
H(-40,70)
I(-40,6)
J(-40,64)

CENTROID DAS ÁREAS
A1
(H+F)/2 ; (B+G)/ 2 = (0, 67)

A2
(I+F)/2; (C+H)/2 = (-37, 35)

A3
(C+D)/2 ; (D+E)/2 = (0, 3)

CENTRO DE GRAVIDADE
480(0) + 348(-37) + 480(0)= 1308X
X= -9,84

480(67) + 348(35) + 480(3)= 1308Y
Y= 35
C= (-9.84 , 35)



MOMENTO DE INÉRCIA
Iz=(80*63)/12 + 480(32)2 + (6*583)/12 + 348(0)2 + (80*63)/12 + 480 (32)2
Iz= 1803476 cm4= 0,01083476 m4

Iy= (6*803)/12 + 480(9.84)2 + (58*63)/12 + 348(24,16)2 + (6*803)/12 + 480(9,84)2
Iy= 862704,18 cm= 0,86270418 m4


20/06/2015

Resistência dos Materiais (P2)

Selecione o perfil abaixo que deve ser utilizado para suportar o carregamento proposto. Sabe-se que a Tensão admissível do material da viga é de 200 MPa.

















Solução:

+15*0,5 + 15*1,5 - Va * 2,5=0
Va= -12 KN

Vb -12 - 30=0
Vb= 42 KN


DIAGRAMA DE ESFORÇO CORTANTE












DIAGRAMA DE ESFORÇO CORTANTE













Tensão máxima

Max= 2,5 * 12= 30 KN.m



































Portanto o perfil mais ideal é o 3°