Pesquisar neste blog

07/04/2014

QUALIDADE DO SOLO E MEIO AMBIENTE



O solo é a base das atividades humanas, sendo utilizado não somente para o desenvolvimento da agricultura, mas também com outras funções. Entre elas, destacam-se


  • Regulação da distribuição, armazenamento, escoamento e infiltração da água da chuva e da irrigação.


  • Armazenamento e ciclagem de nutrientes para as plantas.


  • Ação filtrante e protetora da qualidade da água.


  • Matéria -prima ou substrato para obras civis (casas, indústrias, estradas), cerâmica e artesanato.


  • Meio de descarte de resíduos poluentes, como compostos de lixo, lodos de estações de tratamento de esgotos e efluentes industriais.


  • Produtor de biomassa vegetal.


  • Habitat biológico e reserva genética


  • Retenção do carbono atmosférico.


  • Depositário de artefatos arqueológicos e aspectos históricos de uma civilização ou região.


  • No entanto, para que o solo continue desempenhando essas funções, é necessário que ele tenha qualidade.



Conceitos de Qualidade do Solo

 De acordo com Doran, Parkin e Karlen et. al., a qualidade do solo pode ser conceiturada como a capacidade que um determinado tipo de solo apresenta, em ecossistemas naturais ou agrícolas, para desempenhar uma ou mais funções relacionadas à sustentação da atividade, da produtividade e da diversidade biológica; à manutenção da qualidade do ambiente;  à promoção da saúde das planas e dos animais; e à sustentação de estruturas socioeconômicas e de habitação humana.


      Qualidade do solo é a capacidade de um solo funcionar dentro dos limites de um ecossistema natural ou manejado, para sustentar a produtividade de plantas e animais, manter ou aumentar a qualidade do ar e da água e promover a saúde das plantas , dos animais e dos homens. Em outras palavras, é a capacidade de o solo exercer suas funções na natureza, que são: funcionar como meio para o crescimento das plantas; regular e compartimentalizar o fluxo de água no ambiente; estocar e promover a ciclagem de elementos na biosfera; e servir como tampão ambiental na formação , atenuação e degradação de compostos prejudiciais ao ambiente.

As funções do solo, portanto, podem ser avaliadas no campo, no ecossistema, na pedos fera e em escala global.


Funções do solo


  • Sustentação da atividade biológica, diversidade e produtividade


  • Regulação e distribuição da água e fluxo de solutos.


  • Filtração, tamponamento, degradação, imobilização e desintoxicação de materiais orgânicos e inorgânicos .


  • Armazenamento e ciclagem denutrientes e de outros elementos dentro da biosfera terrestre.


  • Meio de crescimento das plantas e produtividade.


  • Distribuição e regulação do fluxo de água no ambiente.


  • tampão ambiental.


  • Produção da biomassa.


  • Reator (filtro, tampão, transformação de matéria).


  • Habitat biológico e reserva genética.


  • Reciclagem de materiais orgânicos para liberação de nutrientes e energia.


  • Distribuição da chuva na superfície do solo.


  • Manutenção da estrutura estável e resistente à água e a erosão eólica.


  • Tamponamento contra mudanças rápidas de temperatura, umidade e elementos químicos.


  • Armazenamento e liberação gradual de nutrientes e água.


  • Distribuição de energia na superfície do solo.


16/03/2014

MANEJO E CONSERVAÇÃO DE SOLOS

 Quando o solo é cultivado, passa a sofrer alterações na sua constituição física, química e biológica. Essas alterações têm como causas a destruição da cobertura vegetal, a desagregação da camada superficial do solo nos processos de aração e gradagem, a queima dos resíduos de culturas, a retirada das colheitas, o ataque da superfície do solo pelas águas das chuvas ou enxurradas, a movimentação de máquinas e implementos agrícolas, entre outras.
 Todas essas atividades, se não forem bem conduzidas no sentido de conservar as propriedades do solo, podem provocar a a destituição da matéria orgânica, a alteração da estrutura do solo, o adensamento e a compactação do solo e do subsolo, o empobrecimento em nutrientes e o aumento da acidez pode causar impacto na atividade e vida microbiana.
 Essas alterações podem ser intensificadas ou não, dependendo do tipo do solo, do clima e, sobretudo, do manejo. Entretanto, existem procedimentos e tecnologias que são capazes de manter ou até restaurar as propriedades do solo e, consequentemente, aumentar a sua produtividade.

Degradação do Solo e Erosão

 A degradação dos solos afeta as áreas agrícolas e naturais e pode ser considerada como um dos mais importantes problemas ambientais da atualidade. Segunda Guerra et al, cerca de 15% das terras são atingidas pela degradação, e a erosão hídrica e eólica é responsável por 56% e 28%, respectivamente, da dos solos no mundo.
 Esse processo de degradação se dá com: o desgaste das propriedades do solo, a perda de massa de solo e de nutrientes pela erosão, a destruição da matéria orgânica do solo, a compactação, a poluição, a acidificação do solo.

O que contribui para a degradação do solo?
São vários fatores, incluindo:


  • desmatamentos;
  • queimadas não controladas;
  • uso intensivo do solo;
  • excesso de fertilização do solo;
  • uso indiscriminado de pesticidas e herbicidas;
  • construção de obras civis em solos frágeis;
  • má disposição do lixo e dos resíduos industriais.



Isso proporciona riscos tanto para o meio ambiente quanto para a saúde da população. Vale resaltar que um dos principais agentes causadores da degradação do solo é a erosão.
 A erosão do solo representa consequências negativas para o agricultor e sua família, pois além de destruir sua terra, reduz a produtividade agropecuária, levando o agricultor à descapitalização e obrigando -o ao êxodo rural, agravando os problemas socioeconômicos e ambientais dos municípios e cidades.
 Pode ser classificada de acordo com os fatores que a originaram, bem como com os agentes causadores.

Tipos de Erosão


  • Erosão Geológica ou Natural - causada por fenômenos naturais que agem na crosta terrestre durante a formação do solo.



  • Erosão Acelerada ou Antrópica - ocorre quando o processo erosivo natural é intensificado pelo homem por meio das atividades agrícolas, construção de estradas e barragens, obras civis.




Quanto aos agentes causadores


  • Erosão Eólica - causada pelo vento. Ocorre em regiões planas, com pouca chuva, vegetação antural escassa e com ventos fortes.



  • Erosão Hídrica - causada pela água da chuva. É, portanto, mais comum em regiões tropicais, onde há incidência de chuvas de alta intensidade e em que as temperaturas elevadas são mais comuns.


 Esse tipo de erosão pode ocorrer na superfície do solo (erosão laminar) quando ocorre a perda da camada superficial, que quase não é notada pelo agricultor; erosão em sulcos, quando são formadas pequenas valas no solo; e erosão em voçorocas, mais severa quando são abertas grandes crateras que cortam o solo em grandes extensões.
 É interessante sabermos um pouco mais sobre esses tipos de erosão hídrica, uma vez que é a mais frequente nos solos brasileiros.


Causas da erosão hídrica

 Existem determinadas propriedades do solo que não podem ser ignoradas quando o solo é utilizado, sob pena de levá-lo à degradação em curto espaço de tempo.

 Os principais causadores da degradação do solo são a queima da matéria orgânica, a lavagem vertical dos nutrientes e argila (lixiviação), a retirada dos nutrientes pela colheita e a erosão.
 A erosão hídrica é a mais frequente nos solos brasileiros e é afetada pelo clima (vento, temperatura e intensidade/frequência das chuvas), solo (textura, estrutura, intensidade e forma de manejo), relevo (declividade do terreno, comprimento e regularidade das vertentes) e vegetação.

VOCÊ SABIA 
Que as chuvas em intervalos menores são mais erosíveis que aquelas caídas a maiores intervalos?

 Sobre a capacidade de as chuvas provocarem erosão é importante destacar: a intensidade, a distribuição e a quantidade que cai no solo.
 O índice que expressa a capacidade da chuva de provocar erosão é conhecido como erosividade.

Solo

  Outro elemento importante no fenômeno da erosão é solo, cujas propriedades como textura, constituição e disposição dos seus horizontes e o manejo são os fatores mais significativos na intensidade da erosão.
  A textura é uma das mais importante propriedades do solo relacionada com a erosão. Isso porque o domínio das frações areia fina e sile no solo favorece a erodibilidade, enquanto que percentuais elevados de areia grossa permitem maior permeabilidade da água e, portanto, menor erodibilidade. Geralmente, solos com teores elevados de argila possuem boa coesão e estabilidade estrutural.

  A estrutura do solo influencia na capacidade de infiltração e absorção da água da chuva e na capacidade de arraste das partículas do solo. Solos com estrutura granular, por exemplo, são bastante porosos e, por isso, permeáveis, favorecendo a infiltração da água da chuva e diminuindo a sua erodibilidade.
 A densidade do solo está inversamente relacionada com a porosidade e a permeabilidade. Por isso, em solos denso e compactados, a macroporosidade é menor e eles são mais erodíveis.

Cobertura vegetal

  A cobertura vegetal também influi na intensidade da erosão, pois atua como uma proteção natural contra o impacto das goras de chuva que causam a erosão hídrica. Ainda existem as raízes das planta, que "seguram" o solo, não deixando que as partículas se desagreguem com a força da enxurrada, forçando a infiltração no solo. Entre os venefícios que a cobertura vegetal fornece, temos:


  • proteção contra o impacto das gotas de chuva.
  • dispersão e quebra da energia das águas de enxurradas.
  • aumento da infiltração pela produção de poros no solo por ação das raízes.
  • aumento da capacidade de retenção de água pela estruturação do solo devido à incorporação de matéria orgânica vegetal.


Perda de nutrientes

  A perda de nutrientes arrasta com as partículas os nutrientes presentes na forma de compostos químicos, tanto em nível de macro quanto de micronutrientes, e é também influenciada pelos sistemas de manejo do solo.
  A aplicação de insumos (corretivos e fertilizantes) apenas superficialmente, sem incorporação ao solo, pode ocasionar a perda por erosão hídrica, levando à queda na produtividade das culturas e à poluição ambiental, cujos efeitos são cumulativos ao longo dos anos.

Assoreamento e poluição dos corpos hídricos

  O processo erosivo ocasionado pela ação das águas leva à remoção do solo e contribui para a contaminação e o assoreamento dos cursos de água.


Ente as consequências da elevada taxa de assoreamento e sedimentação provocada por processos erosivos, tem-se.

  • Prejuízo à navegação, pela diminuição da lâmina de água, provocada pela elevação do fundo do manancial.

  • Comprometimento da vegetação e da zona pesqueira pela alteração nos fluxos das correntes.

  • Aumento da turbidez da água, prejudicando a biota aquática.

  • Redução da capacidade de drenagem dos rios,  aumentando o risco de inundações.

  • Os sedimentos carreados contêm produtos químicos que podem poluir as águas, aumentando os níveis de nitrogênio e fósforo, e, consequentemente, causando eutrofização.

  • Aumento do custo da geração de eletricidade e captação de água para o abastecimento de centros urbanos.






22/02/2014

Calculo do número de mictórios, chuveiros, ... para uma obra

1) Determinar o n° de chuveiros frios, quentes, saboneteiras, cabides, lavatorio, mictorio, tipo de calho, vaso sanitarios p/ uma obra de 3241 operarios, deste total 31 são mulheres.

Resolução:

3241 - 31 = 3210 HOMENS

Chuveiros frios = 3210 x 10% = 321
Chuveiros quentes = 321 x 10% = 32.10 (sempre arredonda) = 33
Saboneteiras = 321 + 33 = 354
Cabides = 321 + 33 = 354
Lavatorio =  1 ---->  20
                    X ----> 3210 

X= 3210 / 20 =  160.5 (sempre arredonda) 161

Mictorio = 0.60 ----> 20 pontos
                   X ------> 3210

20 X = 0.60 . 3210 = 1926

X = 1626 / 20 = 96,3 mm (convertendo para cm) = 96.3 / 10 (pode ser divido por 10 ou 12) = 9.63 cm

Vaso sanitário = 1 ----> 20
                         X ----> 3210

                        X = 160.5 = 161

3210 - 31 = 31 MULHERES

Chuveiros frios = 31 x 10% = 3.1 = 4
Chuveiros quentes = 4 x 10% = 0.4 = 1
Saboneteiras = 4 + 1 = 5
Cabides = 4 + 1 = 5
Lavatorio = 1 -----> 20
                   X ----> 31   = 1.55 = 2

Vaso sanitário = 1 ---->20
                          X ---> 31 = 1.55 = 2


2) Determinar área de ventilação de uma área 17,20 x 321,5

Resolução: 

17,20 x 3,215 = 55.29 x 15% =  8.29


3) Area de 4,16 x 7,37

Resolução: 

4,16 x 7,37 = 30,65 x 15% = 4.59


26/01/2014

NUTRIENTES DOS SOLOS


O principal desafio na agricultura moderna é manter e/ou aumentar a fertilidade do solo, e uma das suas funções mais importantes, como suporte para o crescimento das plantas, é fornecer nutrientes essenciais, os macronutrientes e micronutrientes.
 Entretanto, o teor de nutrientes nos solos é perdido pela absorção das culturas, lixiviação e erosão do solo. Há também perdas de nutrientes (fósforo, por exemplo) por fixação nos óxidos de ferro presentes no solo, especialmente em solos altamente intemperizados.

Os nutrientes do solo são divididos em macro e micronutrientes, de acordo com o grau de utilização pelos vegetais. Macronutrientes são elementos químicos que ocorrem em níveis consideráveis em materiais vegetais ou em fluidos da planta, e são considerados os elementos: C, H, O, N, P, K, Ca, Mg e S, dos quais carbono, hidrogênio e oxigênio são obtidos a partir da atmosfera. Outros macronutrientes essenciais devem ser obtidos a partir do solo e, por isso, geralmente são adicionados como adubo.
 Já os micronutrientes são os elementos essenciais em níveis muito baixos e, geralmente são necessários para o funcionamento de enzimas essenciais. São eles: Fe, Mn, B, Mo, Cu, Zn, Cl e Co. Por isso, quando a fertilidade do solo é baixa, a produtividade das culturas é incrementada com o uso de fertilizantes, até que seja alcançado um máximo, após o qual a produtividade permanece estável ou decresce.

COMPOSIÇÃO DA SOLUÇÃO DO SOLO

 O conteúdo de outros elementos como Ca, Mg, Na e K, depende da quantidade desde na rocha e da lixiviação que o solo tenha sofrido, uma vez que esses compostos são solúveis em água.
 O compartimento no solo, no qual os nutrientes estão disponíveis para as plantas, é denominado solução do solo.

 Para Raij, a absorção de elementos químicos pelas raízes das plantas dá -se a partir da solução do solo. Segundo Campbell et al., o conhecimento da composição química da solução do solo fornece subsídios importantes para o entendimento das alterações físicas e químicas advindas do uso e manejo e para o monitoramento das várias práticas de melhoramento do solo. Pode também auxiliar nas estimativas da taxa de intemperismo, na taxa de ciclagem dos elementos químicos e no influxo e lixiviação de nutrientes no campo.


A solução no solo é fase líquida do solo que contém nutrientes dissolvidos provenientes dos processos químicos e bioquímicos do solo, da hidrosfera e da atmosfera. A solução do solo representa a fonte imediata de nutrientes às plantas.

COMO OCORRE A TROCA DE NUTRIENTES ENTRE A SOLUÇÃO DO SOLO E FASE SÓLIDA?

 É um processo que depende da concentração da solução do solo, que, por sua vez, depende da solubilidade dos compostos químicos nas plantas. É tudo uma questão de equilíbrio.

 Os nutrientes que se encontram adsorvidos na fase sólida mineral do solo vão sendo liberados para a solução do solo à medida que ocorre a absorção deles pelos vegetais. A capacidade do solo em suprir nutrientes às plantas está ligada ao teor do nutriente disponível na fase sólida. Por isso, há necessidade de reposição dos nutrientes da solução do solo por meio da liberação destes da fase sólida, pelo processo de intemperismo. Entretanto, essa liberação é muito lenta e depende do mineral primário predominante. Nos solos tropicais, predomina o quartzo na fração grosseira, que é um mineral muito resistente ao intemperismo e pobre em nutrientes. Outros minerais primários, como micas e feldspatos, presentes em solos mais jovens e nas camadas mais profundas, podem representar uma importante fonte de nutrientes a longo prazo.

FATORES QUE AFETAM O CRESCIMENTO E O DESENVOLVIMENTO DAS PLANTAS E A DISPONIBILIDADE DE NUTRIENTES NO SOLO.

Muitos atributos do solo, da planta, dos sistemas de manejo e do clima afetam, direta ou indiretamente, o ecodesenvolvimento dos vegetais.

Entre os fatores do solo, vamos detalhar os mais importantes:

  • Textura e Estrutura - são atributos físicos do solo ligados a propriedades importantes, como densidade, espaço poroso, umidade e taxa de infiltração de água, erodibilidade e compactação. Essas propriedades podem inibir o crescimento das plantas caso o manejo do solo não seja adequado.


  • Umidade do Solo - a água é fator importante no processo de absorção de nutrientes pela planta.


  • Material de Origem - Tem relação direta com o tipo e com os teores dos elementos minerais no solo liberados pelo intemperismo. Assim, a composição mineralógica determina maior ou menor disponibilidade de elementos essenciais para as plantas.


  • PH do Solo - Grande parte dos solos agrícolas das regiões tropicais e subtropicais apresenta limitações ao crescimento de mutas culturas em virtude dos efeitos da acidez excessiva, que contribui para a baixa fertilidade natural . O PH é o fator que mais afeta a composição da solução do solo.


  • Teor de Matéria Orgânica - Produzida pela decomposição de restos vegetais e animais, os compostos orgânicos atuam direta e indiretamente sobre a fertilidade do solo. É fonte de nutrientes para as plantas (N, S, P), aumenta a CTC do solo por contribuir com cargas negativas e regula a disponibilidade de vários micronutrientes, como cobre, manganês e zinco, bem como a atividade de metais pesados e elementos fitotóxicos.


MACRONUTRIENTES

Nutrientes são elementos que ocorrem em maiores concentrações nas plantas, e incluem carbono, hidrogênio, fósforo, potássio, cálcio, magnésio e enxofre. O carbono, o hidrogênio são obtidos da atmosfera; os outros macronutrientes essenciais devem ser obtidos do solo. Desses, o nitrogênio, o fósforo e o potássio são os mais facilmente perdidos no solo e geralmente, são adicionados como fertilizantes. A composição química dos solos é bastante variável, entretanto é possível estimar as porcentagens médias em que os macronutrientes normalmente ocorrem.

CÁLCIO

Solos deficientes em cálcio são relativamente incomuns, pois este constitui o quinto elemento em abundância na crosta terrestre (3,6%) . É  encontrado em calcita, gesso, conchas de ostras e corais, e os minerais primários ricos em cálcio são a anortita e os piroxênios.
A aplicação de calcário em solos ácidos fornece cálcio adequadamente para as plantas. No entanto, a absorção de cálcio pelas plantas e a lixiviação por ácido carbônico pode levar à deficiência de cálcio no solo. Solos ácidos podem ainda conter um nível apreciável de cálcio que, devido à concorrência do íon hidrogênio, não esta disponível para as plantas. Em solos alcalinos, a presença de elevados níveis de sódio, magnésio, potássio e cálcio, por vezes, produz deficiência de cálcio, pois esses íons podem competir com o cálcio pela disponibilidade às plantas.

O cálcio é absorvido pelas plantas na forma iônica Ca2+ e transportado para as folhas, nas quais se torna imóvel na forma não solúvel em água. É um elemento que influi indiretamente no rendimento das culturas, por melhorar as condições de crescimento das raízes, estimular a atividade microbiana, auxiliar na disponibilidade do micronutriente molibdênio (Mo) e na absorção de outros nutrientes, além de reduzir o NO3 - na planta. Não há relatos de toxidez por Ca na planta, e o sintoma de deficiência mais comum é o pequeno crescimento das raízes.

NITROGÊNIO

















A matéria orgânica é uma importante fonte de nitrogênio no solo, por isso seu ciclo encontra -se ligado à introdução de resíduos orgânicos de origem animal ou vegetal, que, ao sofrerem decomposição pelos micro -organismos, liberam nitrogênio para a solução do solo e, a partir daí, podem ser utilizados por plantas em crescimento. Este processo de decomposição da matéria orgânica é um processo acidificante do solo, pelo qual se forma nitrito (NO2 -) altamente tóxico para as plantas. O nitrito tem vida curta no sol, transformando -se rapidamente em nitrato (NO3-) na presença de oxigênio e do micro-organismo Nitrobacer sp.

O QUE SÃO RIZÓBIOS ?

 Os rizóbios são bactérias benéficas presentes no solo que são atraídas para as raízes das plantas leguminosas, ou seja, aquelas que produzem vagens, como o feijoeiro e a soja. Essas bactérias, uma vez em contato com as raízes do feijoeiro, por exemplo, induzem a formação de pequenas bolinhas, chamadas de nódulos. No interior do ar por essas bactérias. Esse processo de aproveitamento do nitrogênio, e permite que o agricultor economize na adubação nitrogenada. O nitrogênio é um dos nutrientes essenciais para o desenvolvimento das plantas e, normalmente, é fornecido para as culturas por meio da adubação com ureia, sulfato de amônia, esterco ou outras formulações do tipo NPK. No entanto, o ar que respiramos contém quase 80% de nitrogênio, na forma  de gás, esse pode ser aproveitado pelas plantas por meio do trabalho dos rizóbios, que absorvem esse elemento do ar, transformando -o em aminoácidos ou outros compostos que podem ser utilizados na nutrição nitrogenada do vegetal. Esta associação do rizóbio com as raízes das leguminosas é chamada de simbiose. O rizóbio utiliza os carboidratos provenientes da fotossíntese da planta hospedeira para gerar a energia necessária para promover o processo de fixação biológica de nitrogênio. Por outro lado, a planta beneficia -se do nitrogênio fixado pela bactéria na síntese de suas proteínas.

FÓSFORO


O fósforo (P) é essencial para o crescimento e desenvolvimento dos organismos vivos. Em sistemas agrícolas, a adubação com fósforo nos solos, geralmente, é necessária para a reconstituição do fósforo nos solos, geralmente, é necessária para a reconstituição do fósforo removido pelas culturas colhidas ou perdido pela erosão do solo ou pela erosão. As perdas de fósforo são, em geral, significativas no ambiente solo, pois pode aumentar o crescimento de algas e plantas aquáticas a níveis indesejáveis, causando eutrofização de cursos de água.
A concentração de fósforo na solução do solo é amplamente controlada pela mineralização e imobilização do fósforo orgânico compreende entre 30 e 65% do total de fósforo no solo, dependendo do tipo de solo, e inclui ésteres fosfatos, ácidos nucleicos, fosfolipídios e outros ésteres.

VOCÊ SABIA !

O antagonismo pode ser definido como o efeito contrário produzido por um elemento sobre o outro. Exemplo: quando a presença de um elemento no meio diminui a absorção de outro, como no caso do cálcio e do cobre. Normalmente, o antagonismo entre nutrientes -macro e micro causa o surgimento de sintomas de deficiência no nutriente exigido em menores quantidades. Portanto,  a  deficiencia que deve surgir será a do micronutriente.

Já o sinergismo ocorre quando a presença de um nutriente aumenta a absorção de outro. Exemplo: o magnésio aumenta a absorção do fósforo.


31/12/2013

LEVANTAMENTO ARQUITETÔNICO

Levantamento arquitetônico é nada mais do que fazer as medições do ambiente manualmente em um papel e logo converte-lo em um projeto, e para um levantamento arquitetônico é necessário papel, trena, régua, caneta e ajuda de alguns companheiros.

Abaixo está uma pequena demonstração:

PLANTA BAIXA

VISTA 1

VISTA 2

VISTA 3

VISTA 4

Logo é só passar para o projeto.
Obs: em vistas não se coloca cotas na vertical.

PLANTA BAIXA

VISTA 1

VISTA 2

VISTA 3

VISTA 4
Obs: nessa vista eu errei no rodapé, é 0.30 x 0.08






26/12/2013

Área no mapa

Qual a área de uma chácara que tem forma retangular e aparece em um mapa de escala 1: 600 com 6 cm de base ?

Resolução:

At = E^2 . Ad

At = área do terreno (m^2)
E = escala
Ad = área do desenho (cm^2)

Ad= 6.4 = 24 cm^2

At = 6000^2 . 24 cm^2
At = 36000000 / 10000
At = 86.4000

22/12/2013

21/12/2013

GEOMETRIA ANALÍTICA

EXERCICIOS DE VETORES

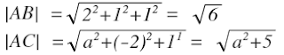
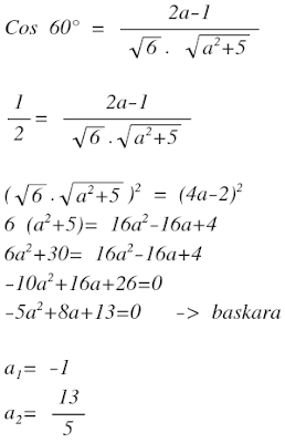
1) Determinar a, de modo que o ângulo A do triangulo ABC, seja 60°. Dados A(1,0,2) B(3,1,3) e C(a+1,-2,3)

Resolução:

AB= B-A= (2,1,1)
AC= C-A= (A,-2,1)


<AB, AC> = (2,1,1) . (a,-2,1) = 2a, -2, +1
<AB, AC> = 2a-1


2) Sejam os vetores a= (1,-m,-3)  b= (m+3,4-m,1) e   c= m,-2,7) determine m para que   a.b= (a+b) . c

Resolução:

a= (1,m,-3)
b= (m+3,4-m,1)
c= (m,-2,7)

a.b = (a+b).c
a.b = 
a.b=//


a+b = (1, -m, -3)+(m+3, 4-m,1)
a+b =  (m + 4,4 -2m, -2) . (m-2, 7)
(a + b).c  =  + 4m -8+ 4m -14   
        = -3m+  =  + 8m -22
        = -3m - 8m = -22
        = -11m = -22
   m = -22 / -11
   m= 2 //


6) O vetor U= (-1,-1,-2) e V= (2,-3,4) calcular:

a) A área do paralelogramo determinado por U e V
b) A altura do paralelogramo relativa à base definida pelo vetor U

Resolução:

A= |U x V| =   i   j  k
                      1 -1 1      Determinante= -i -2j - k
                      2 -3 4


b)

A= b . h

A= raiz de 6
b= raiz de 3
h= ?


10) Determine a altura do tetraedro ABCD, onde A= (1,3,1)  B=(0,-2,4) C= (2,1,-3)  e D= (0,-6,0).

Resolução:

 AB= B-A= (-1,-5,3)
AC= C-A= (1-2,-4)
AD= D-A= (-1,-9,-1)

-1 -5  3
 1 -2 -4
-1 -9 -1

Determinante = -24 = 24

Volume = Ab . h / 2

V = (1/6) . 24 
V= 4u

h= ?
v= 4
Ab= raiz de 726





19/12/2013

Geometria analítica

Volume do paralelepípedo
Volume do tetraedro

Determine o volume do paralelepípedo que tem 3 arestras MN, MP, MQ sendo m(-1, 1, 2) n (-2, 1, 1) e q (1,3,2)

mn= n-p (3,0,-1)
mp= p-n (-1,0,-1)
mq= q-m (2,2,0)

 3 0    -1
-1  0  -1      D= 8u
 2  2    0


Determine o volume do tetraedro ABCD cujos vértices são A= (1,1,-1)   B= (2,2,-1)  C= (3,1,-1)  e  D= (2,3,1)

Solução:

<U> AB = B-A (1,1,0)
<V> AC = C-A (3,1,-1)
<W> AD = D-A (2,3,1)

[U,V,W] = 1/6 .  |1 1 0|
                           |2 0 0|   D= -4
                           |1 2 2|


[U,V,W] = 


8) Um tetraedro ABCD tem volume 3 u.v sendo A = (4,3,1)  B = (6,4,2)  e C = (1,51) determine o vértice D   E  OX.

Solução:

D  E  OX =  D (x,0,0)    sempre que se referir em D  E OX está se referindo em x, y, z 
por exemplo:
x = (x,0,0)
y = (0,y,0)
z = (0,0,z)

logo:

AB = B-A = (2,1,1)
AC = C-A = (-3,2,0)
AD = D-A = (x-4,-3,-1)

Determinante = - 2x +10


Vt = 1/6 . Vp

3 = 1/6 . |-2x + 10|    fazendo a função modular fica:

3.6 = 2x -10
18+10 = 2x
x = 28 / 2
x = 14

ou 

3.6= |-2x +10|

18= -2x +10
18-10 = -2x
8 = -2x
8 / -2 = x
-4 = x         como não existe volume negativo x = 4

RUMOS E AZIMUTES

PROPRIEDADES DE RUMOS E AZIMUTES



Para aprender a calcular RUMOS e AZIMUTES segue abaixo um bom exemplo:

1° Você deve conhecer o gráfico do quadrante:



2° Praticando uns exercícios de aprendizagem

Transforme os azimutes e rumos e os rumos em azimutes.


Obs: para calcular tanto rumo para azimute você deve seguir as propriedades e saber o que significa aqueles pontos.

° = graus
' = minutos
" = segundos

Resolução Azimute:

Como o azimute está no primeiro, não precisa fazer calculo então 1Q = 30º 30" 20"

2Q = Como 283° está no 4Q logo 


3Q =  Como 231° está no 3Q logo 


4Q = Como 101° está no 2Q logo 

Então a conclusão será:

IQ  = 30° 30' 30" NE
IIQ = 76° 34' 20" NW
IIIQ = 51° 15' 15" SW
IV = 78° 29' 45"


Resolução o rumo -> azimute

IQ = Como 50° NW está no IVQ logo:

IIQ = Como 65° NE está no IQ não precisa fazer calculo 

IIIQ = Como 89° SE está no IIQ logo: 

IQ = Como 35° SW está no IIIQ logo:

Então:

IQ = 309° 44' 35"
IIQ = 65° 20' 20"
IIIQ = 90° 39" 35"
IVQ = 215° 30' 40"









18/12/2013

GEOMETRIA ANALÍTICA / Ângulo entre vetores

1) Determine o ângulo entre a diagonal de um cubo e uma de suas arestas conforme a figura.


Solução:

U= (1,0,0)
V=(1,1,1)

<U,V> = (1.1 + 0.1+ 0.1)
<U,V) = 1

U== 1

V=

arc cos θ


2) Dado o tetraedro de arestas OA, OB e OC, conforme a figura abaixo, sabemos que: OA = (x, 3,4)  OB= (0,4,2) e OC= (1,3,2). calcule o valor de x para que o volume desse tetraedro seja igual a 6 u.v
sabemos que o volume Vt do tetraedro é dado por:
Vt = 1/6 ||<OA X OB, OC>||

Solução:

Vt = 1/6 ||<OA X OB, OC>||

                |x 3 4|
Vt = 1/6 . |0 4 2|         D= 2x - 10
                |1 3 2|


Vt = 1/6 <2x - 10>

6 = 1/2 + (2x - 10)

12 = 2x - 10

12 + 10 = 2x

x = 22 / 2

x = 11

13/12/2013

Geometria Analítica

Volume do paralelepípedo



Determine o volume do paralelepípedo de arestas AB, AC e AD, sendo A= (2,1,3) , B= (3,2,3) e 
D= (1,2,3)


Solução:
U = AB = (0,6,1)
V = AC = (1,1,0)
W= AD = (-1,-3,0)   fazendo seu determinante

Volume= [ U,V,W ] | 0  6  1|
                                | 1   1 0|
                                |-1 -3 0|

Volume = 2 u.v

Matrizes

Escreva a matriz A= (aij) nos seguintes casos:

a) A e uma matriz do tipo 3 x 4 com:


aij = -1 para i = 2j

aij = a para i ≠ 2j


b) A é uma matriz quadrada de 4 ordem com:

aij = 0 para i + j = 4

aij = -1 para i + j ≠ 4

Resolução:
a)

Na letra a   aij = -1 para i = 2j  é para fazer o dobro, então :


a11 a12 a13 a14     |a  -1  a  a

a21 a22 a23 a24  = |a   a  a  -1

a31 a32 a33 a34     |a   a  a   a


Resolução da letra b
b)


a11 a12 a13 a14

a21 a22 a23 a24

a31 a32 a33 a34   =

a41 a42 a43 a44


-1 -1  0  -1

-1  0 -1  -1

0  -1 -1  -1

-1 -1 -1  -1

12/12/2013

FUNCÃO E POTENCIA // Algoritmo e programação

algoritmo "38"
// Faça um algoritmo que leia 2 valores inteiros e positivos: X e Y.
// O algoritmo deve calcular e escrever a função potência XY.
var
x,y: inteiro
expoente: real
inicio
expoente <-0
escreval("Informe o valor X (onde X é a base)")
leia(x)
escreval("Informe o valor Y (onde Y é o expoente)")
leia(y)
se y=0 entao
escreval("Esta função tem o valor de: (1)")
senao
se y=1 entao
escreval("A função de f(",x," ) é=", x)
senao
expoente <-x^y
escreval("A função de F(",x," ) é=", expoente)
fimse
fimse



fimalgoritmo

MATRICULA DE ALUNOS // Algoritmo e programação

algoritmo "Matricula de Aluno (a)"
// Faca um algoritmo que: Le os seguintes dados de 10 Aluno (a)s de uma turma de ¡§Algoritmo e Programacao¡
//matricula, nome e a nota de cada um dos dois bimestres (nota bimestral);
// Calcula a media semestral de cada Aluno (a);
// Mostra na tela a lista de Aluno (a)s (matricula, nome e media)
//que foram aprovados sem exame e a respectiva media semestral (um Aluno (a) e aprovado se sua media semestral for maior ou igual a 7);

// Mostra na tela a lista de Aluno (a)s (matricula, nome e media) que foram reprovados sem direito a fazer o exame final
//(caso media semestral seja menor que 4);
//Solicita a nota do exame de cada Aluno (a) que precisou fazer o exame.
// Entao calcula a media final destes Aluno (a)s. Apresenta ao final, a matricula, nome, media e situacao final
//(aprovado¡¨, se media maior ou igual a 6 e ¡§reprovado¡¨, caso contrario)
var
m1: inteiro
a1: caractere
n1, n2, media, mediafinal, notaexame : real

inicio
para m1 de 1 ate 10 faca
escreval
   escreval ("MATRÍCULA SOMENTE NÚMEROS:")
   leia (m1)
   escreval ("Nome do Aluno (a):")
   leia (a1)
   escreval ("Nota do [1°] bimestre / nota do [2°] bimestre:")
   leia (n1,n2)
   media <- (n1+n2)/2
   se (media >=7) entao
   limpatela
      escreval ("Aluno (a) (a): [",a1, "] Matricula: [",m1, "] média obtida [",media, "] está aprovado (a)")
   fimse
   se (media <4) entao
      escreval ("Aluno (a): (a) [",a1, "] Matricula: [",m1, "] média obtida [",media, "] está reprovado (a)")

   fimse
   se (media >=4) e (media <=6.99) entao
   limpatela
      escreval ("Exame final")
      escreval ("Digite a nota do exame final")
      leia (notaexame)
      mediafinal <- (notaexame + media)/2
      se (mediafinal >=6) entao
      limpatela
         escreval ("Aluno (a): [",a1, "] Matricula= [",m1, "] Média final= [",mediafinal, "] Aprovado no exame no final:")
      senao
         escreval ("Aluno (a): [",a1, "] Matricula= [",m1, "] Média final= [",mediafinal, "] Reprovado no exame final")
      fimse
   fimse
fimpara

fimalgoritmo

11/12/2013

IPTU // Algoritmo e programação

algoritmo "22"
// Em certo municipio, 30 proprietarios de imoveis estao em atraso com o pagamento do IPTU.
// - Escreva um algoritmo que calcule e escreva o valor da multa a ser paga por estes proprietarios,
//- considerando que:
//-Os dados de cada imovel
//- (identificacao,
//- valor do imposto
// e numero de meses em atraso)
//- deverao ser lidos do usuario.
//- As multas devem ser calculadas no valor de 1% por mes de atraso.
//- O algoritmo deve exibir: a identificacao de imovel,
//- valor do imposto,
//- a multa a ser paga e o total devido pelo proprietario (imposto + multa).
var
atraso: inteiro
multa, iptu, total: real
prop, imovel, ident: caractere

inicio
para atraso de 1 ate 30 faca
escreval ("NOME DO PROPRIETÁRIO (a)")
leia (prop)
escreval ("Dados do imóvel:")
leia (imovel)
escreval ("Número de [Identificação]")
leia (ident)
escreval ("Valor do IPTU")
leia (iptu)
escreval ("Meses em atraso")
leia (atraso)
multa <- (0.01 * atraso)
total <- (iptu + multa)
limpatela
escreval ("Imóvel: ",ident, " multa a ser paga ",multa, " R$")
escreval ("Total a ser pago pelo proprietário (a): ",prop, " é de: ",total, " R$")
escreval
fimpara

HIPOTENUSA // Algoritmo e programação

Faça um algoritmo que calcule a hipotenusa de um triangulo

algoritmo "Hipotenusa"
// Função :
// Autor :
// Data : 11/12/2013
// Seção de Declarações 
var oposto, adjacente, hipotenusa: real

inicio
escreval ("digite o cateto oposto")
leia (oposto)
escreval ("digite o cateto adjacente")
leia (adjacente)
hipotenusa <- raizq (oposto^2 + adjacente^2)
escreval ("Hipotenusa gerada é: ",hipotenusa)

// Seção de Comandos 
fimalgoritmo

MOD de 2 e 3 // Algoritmo e programação

algoritmo "43"
// Função :
// Autor :
// Data : 28/11/2013
// Seção de Declarações 
var
A, B, C, D:inteiro
inicio

escreval ("Digite [4] números")
leia (A,B,C,D)

se (A mod 2= 0)entao
   escreval(A," é divisível por [2] ")
   senao
   se (A mod 3 = 0) entao
     escreval(A," é divisivel por [3] ")
     fimse
fimse

se (B mod 2 = 0) entao
    escreval(B," é divisível por [2] ")
    senao
     se (B mod 3 = 0) entao
      escreval(B," é divisivel por [3] ")
      fimse
fimse

se (C mod 2 = 0) entao
   escreval(C," é divisível por [2] ")
   senao
     se (C mod 3 = 0) entao
      escreval(C," é divisivel por [3] ")
      fimse
fimse

se (D mod 2= 0) entao
   escreval(D," é divisível por [2] ")
   senao
     se (D mod 3 = 0) entao
      escreval(D," é divisivel por [3] ")
      fimse
fimse

fimalgoritmo

FATORIAL DE UM NÚMERO // Algoritmo e programação

algoritmo "40"
//Elabore um algoritmo que leia um número qualquer digitado pelo usuário
// e calcule seu Fatorial. (Exemplo: 5! = 5 x 4 x 3 x 2 x 1)
// Autor :
// Data : 13/11/2013
// Seção de Declarações 
var

n, i, fatorial: inteiro

inicio
// Seção de Comandos

escreva("Digite um numero: ")
leia(n)

fatorial<-1

para i de 1 ate n faca

fatorial<-fatorial*i

fimpara

escreval("O fatorial de ",n," é: ",fatorial)

fimalgoritmo